Dynamic multilevel indexes with B-Tree and B+Tree

Dynamic multilevel indexing harnesses the hierarchical structure of B-Trees and B+ Trees, offering scalable solutions for managing evolving datasets in database systems.

B-Trees

Introduction to B-Trees

B-trees, conceptualized by Rudolf Bayer in 1972, stand as versatile self-balancing tree data structures. Their primary function involves managing sorted data effectively. These trees excel in tasks such as searches, sequential access, and insertions and deletions, especially in scenarios dealing with vast data sets, commonly employed in databases and file systems.

Structure of a B-Tree

A B-Tree comprises nodes housing keys and pointers leading to child nodes. These trees enforce a specific maximum and minimum number of keys within each node. The root node stands atop the hierarchy, while leaf nodes lack children. The inherent balance and consistent node size in B-trees significantly optimize search and sort operations.

Consider the example of organizing data (10, 20, 30, 40, 50, 60, 70, 80, 90, 100) within a B-tree with a node size of 3. Initially, the tree is empty. When inserting the first number (e.g., 10), it becomes the root of the tree.

Initially, the tree is empty.

The first number inserted, let's say 10, becomes the root of the tree.        

 


  

 

 

 

 

 

 


Deleting from a B-Tree

Deletion within a B-Tree involves pinpointing the relevant leaf node containing the key to be deleted. Should the leaf node experience underfill, a redistribution of keys or node merging occurs until reaching a sufficiently populated node or the root node.

Advantages of B-Trees

  1. Efficiency: Efficient handling of large datasets for searching and sorting operations.
  2. Balanced Structure: Ensures logarithmic time complexity for operations.
  3. Variable-Key Support: Can handle variable-length keys and accommodate range queries.

B+ Trees

Introduction to B+ Trees

Sergio Fagin introduced B+ Trees in 1979 as an enhancement to the functionalities of B-trees. These trees focus on optimizing disk access and memory utilization, primarily by storing data solely within leaf nodes, allowing faster sequential access.

Structure of a B+ Tree

Similar to B-Trees, B+ Trees consist of internal nodes containing keys exclusively, while leaf nodes house both keys and associated values. Each node maintains a specific minimum and maximum number of keys, with leaf nodes containing the actual data.

Searching in a B+ Tree

Searching within a B+ Tree involves comparing keys starting from the root node until finding the desired key or reaching a leaf node lacking the key.

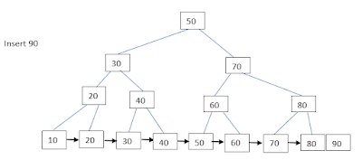
Inserting into a B+ Tree

Insertion initiates from the root, proceeding down the tree and splitting nodes if full, updating parent nodes accordingly.










Deleting from a B+ Tree

Deletion in B+ Trees follows a process similar to that of B-Trees, commencing at the root node and removing the specified key from the leaf node or handling underflow via key borrowing from neighboring nodes.

Advantages of B+ Trees

  1. Efficient Indexing: Optimized for indexing and retrieving large datasets.
  2. Balanced Structure: Ensures logarithmic time complexity for operations.
  3. Variable-Key Handling: Support for variable-length keys, range queries, and improved cache performance.

In summary, both B-Trees and B+-Trees represent specific forms of the widely recognized tree data structure. Their balanced organization, efficient node utilization, and specialized key management make them invaluable tools for managing vast data sets, with B+-Trees standing as a prevalent choice in today's prevalent Database Management Systems for their optimized indexing capabilities.

Post a Comment

0 Comments